Официальное опубликование правовых актов
ОФИЦИАЛЬНОЕ ОПУБЛИКОВАНИЕ
Постановление Правительства Ярославской области от 02.08.2016 № 908-п
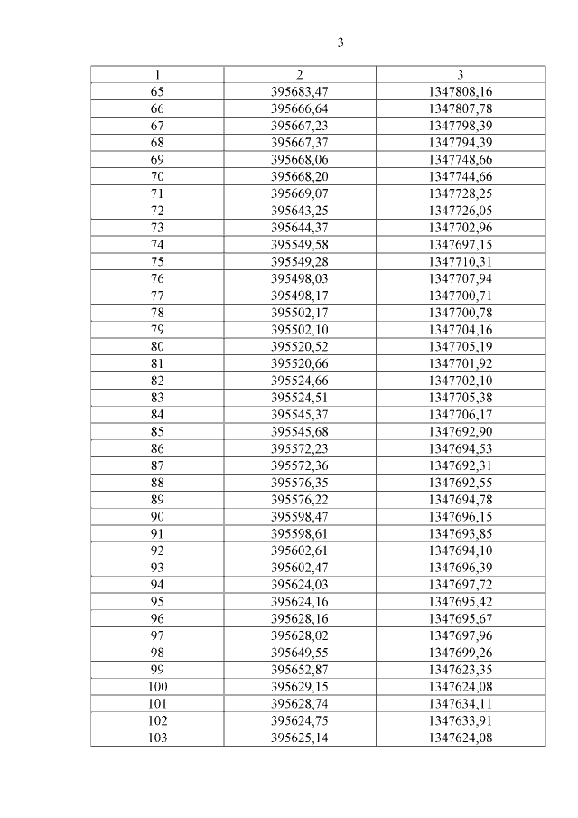
"Об утверждении границы охранной зоны объекта газораспределительной сети "Газовые сети высокого и низкого давления, назначение: 7.7 сооружения трубопроводного транспорта, протяженность 2247 м, адрес (местонахождение) объекта: Ярославская область, Ярославский р-н, с. Спас-Виталий, от ГРС к жилым домам с. Спас-Виталий"
Номер опубликования: 7600201608040001
Дата опубликования: 04.08.2016
Страница №5 из 7:
Увеличить