Официальное опубликование правовых актов
ОФИЦИАЛЬНОЕ ОПУБЛИКОВАНИЕ
Постановление Правительства Ярославской области от 22.06.2016 № 711-п
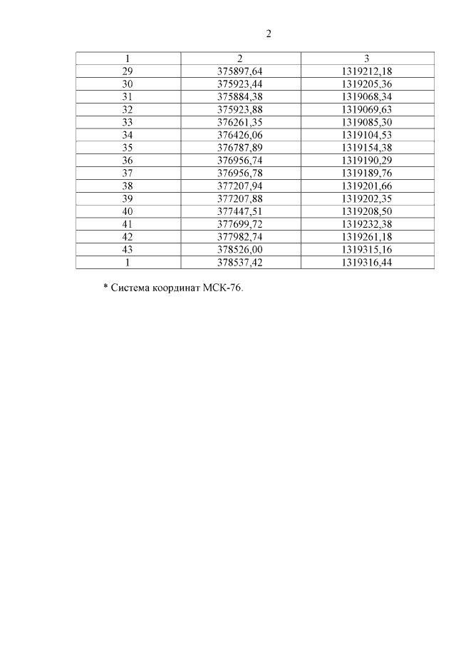
"Об утверждении границы охранной зоны объекта газораспределительной сети "Газопровод высокого давления, назначение: нежилое, 1-этажный, протяженность 3475 м, адрес (местоположение) объекта: Ярославская область, Ярославский р-н, дер. Медведково, от места врезки до ГРП"
Номер опубликования: 7600201606230006
Дата опубликования: 23.06.2016
Страница №4 из 4:
Увеличить