Официальное опубликование правовых актов
ОФИЦИАЛЬНОЕ ОПУБЛИКОВАНИЕ
Постановление Правительства Ярославской области от 27.05.2016 № 622-п
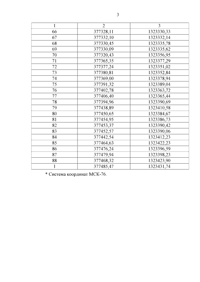
"Об утверждении границы охранной зоны объекта газораспределительной сети "Газопровод низкого давления, назначение: газопровод низкого давления, протяженность 770,30 м, адрес (местонахождение) объекта: Ярославская область, Ярославский р-н, пос. Карачиха, ул. Школьная, к домам №№ 1-16"
Номер опубликования: 7600201605310009
Дата опубликования: 31.05.2016
Страница №5 из 5:
Увеличить