Официальное опубликование правовых актов
ОФИЦИАЛЬНОЕ ОПУБЛИКОВАНИЕ
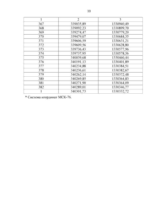
Постановление Правительства Ярославской области от 11.03.2016 № 245-п
"Об утверждении границы охранной зоны объекта газораспределительной сети "Подземный газопровод высокого и низкого давления "пос. Стогинское – к-з "Красная Нива"
Номер опубликования: 7600201603140012
Дата опубликования: 14.03.2016
Страница №12 из 12:
Увеличить