Официальное опубликование правовых актов
ОФИЦИАЛЬНОЕ ОПУБЛИКОВАНИЕ
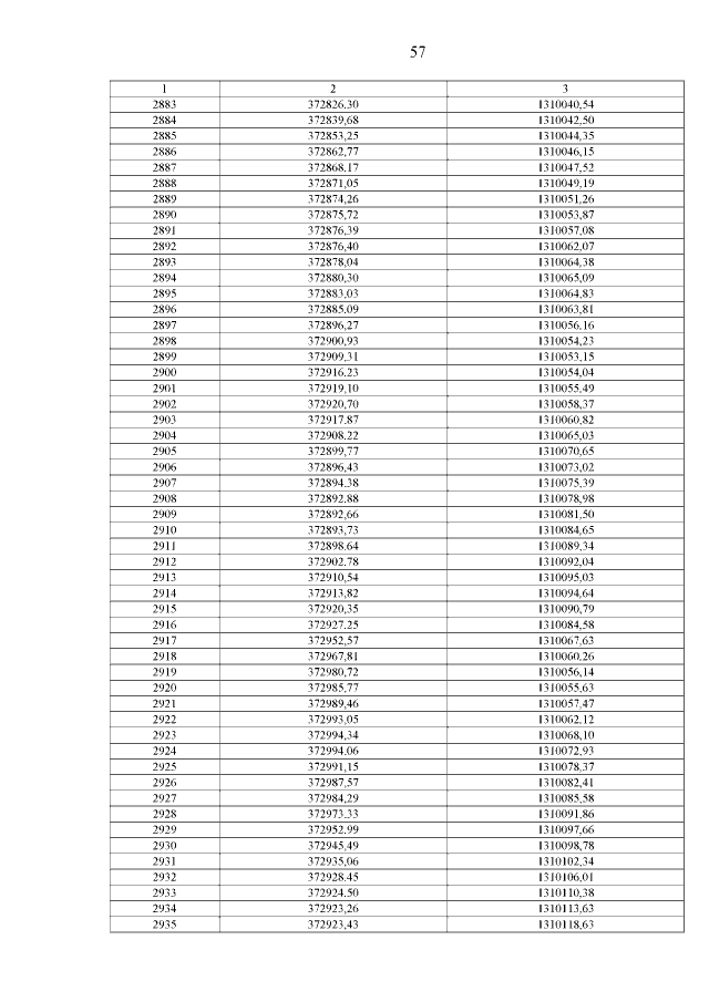
Постановление Правительства Ярославской области от 29.02.2016 № 199-п
"Об изменении границ заказника "Козьмодемьянский" и о внесении изменений в постановления Правительства области от 01.07.2010 № 460-п, от 06.03.2015 № 241-п"
Номер опубликования: 7600201603030009
Дата опубликования: 03.03.2016
Страница №60 из 89:
Увеличить