Официальное опубликование правовых актов
ОФИЦИАЛЬНОЕ ОПУБЛИКОВАНИЕ
Указ Губернатора Ярославской области от 04.02.2016 № 49
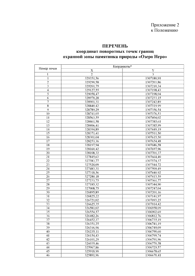
"О выделении зоны ограниченного хозяйственного использования в охранной зоне памятника природы "Озеро Неро" и внесении изменений в указ Губернатора области от 25.06.2014 № 254"
Номер опубликования: 7600201602050003
Дата опубликования: 05.02.2016
Страница №7 из 88:
Увеличить