Официальное опубликование правовых актов
ОФИЦИАЛЬНОЕ ОПУБЛИКОВАНИЕ
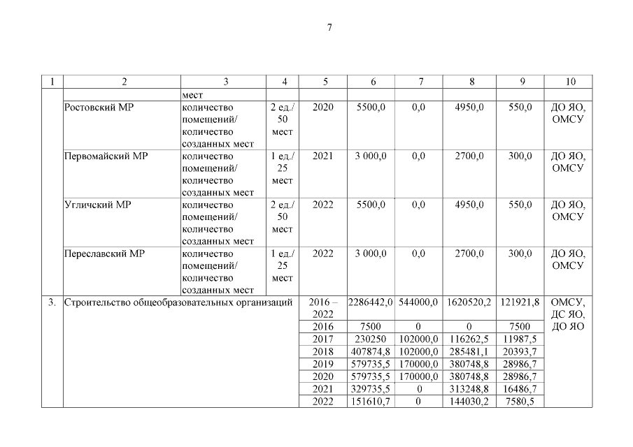
Постановление Правительства Ярославской области от 27.01.2016 № 46-п
"Об утверждении программы "Создание (исходя из прогнозируемой потребности) новых мест в образовательных организациях Ярославской области" на 2016 – 2025 годы"
Номер опубликования: 7600201602050001
Дата опубликования: 05.02.2016
Страница №18 из 21:
Увеличить