Официальное опубликование правовых актов
ОФИЦИАЛЬНОЕ ОПУБЛИКОВАНИЕ
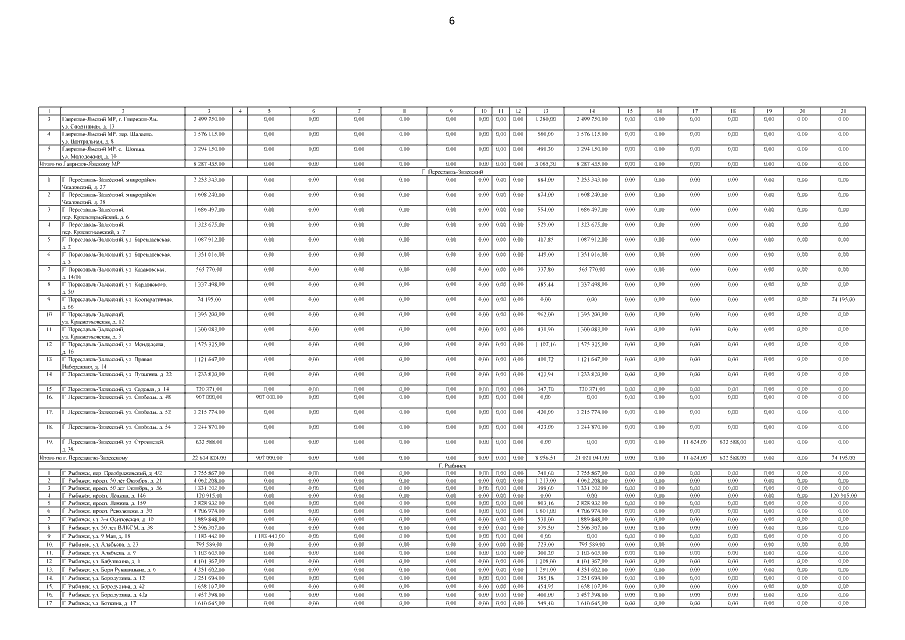
Постановление Правительства Ярославской области от 25.12.2015 № 1407-п
"О внесении изменений в постановление Правительства области от 28.03.2014 № 275-п"
Номер опубликования: 7600201512300009
Дата опубликования: 30.12.2015
Страница №33 из 62:
Увеличить