Официальное опубликование правовых актов
ОФИЦИАЛЬНОЕ ОПУБЛИКОВАНИЕ
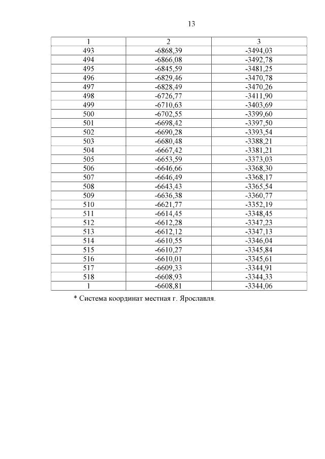
Постановление Правительства Ярославской области от 09.11.2015 № 1196-п
"Об утверждении границы охранной зоны объекта газораспределительной сети "Подземный газопровод, назначение: иные сооружения производственного назначения, протяженность 2805 м"
Номер опубликования: 7600201511110016
Дата опубликования: 11.11.2015
Страница №15 из 15:
Увеличить