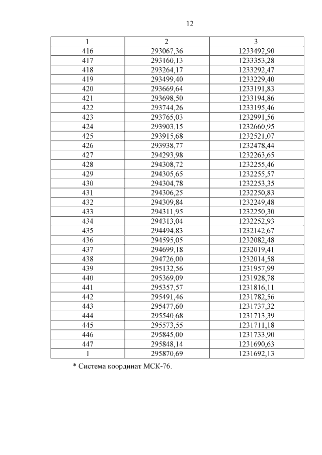
Постановление Правительства Ярославской области от 06.05.2015 № 491-п
"Об утверждении границы охранной зоны объекта газораспределительной сети "Газопровод межпоселковый с. Кубринск - с. Нагорье Переславского района Ярославской области, назначение: нежилое, протяженность 28719,60 м, инв. № 00043, лит. А, А1, А2, А3, адрес (местоположение) объекта: Ярославская область, Переславский р-н"
"Об утверждении границы охранной зоны объекта газораспределительной сети "Газопровод межпоселковый с. Кубринск - с. Нагорье Переславского района Ярославской области, назначение: нежилое, протяженность 28719,60 м, инв. № 00043, лит. А, А1, А2, А3, адрес (местоположение) объекта: Ярославская область, Переславский р-н"
Номер опубликования: 7600201505080027
Дата опубликования:
08.05.2015
