Официальное опубликование правовых актов
ОФИЦИАЛЬНОЕ ОПУБЛИКОВАНИЕ
Приказ Региональной службы по тарифам и ценообразованию Забайкальского края от 19.12.2025 № 686-НПА
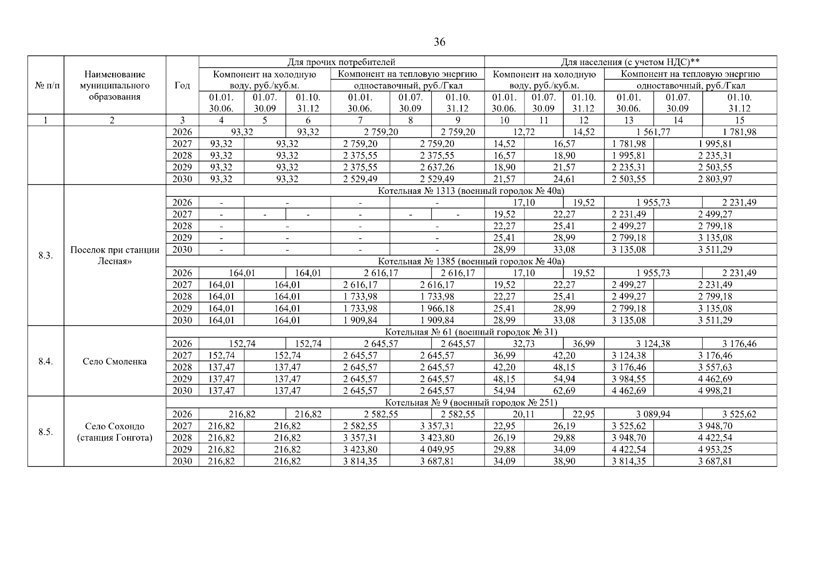
"Об установлении долгосрочных тарифов на питьевую воду (питьевое водоснабжение), техническую воду, горячую воду в закрытой системе горячего водоснабжения, водоотведение и транспортировку сточных вод для Федерального государственного бюджетного учреждения "Центральное жилищно-коммунальное управление" Министерства обороны Российской Федерации, осуществляющего на территории Забайкальского края деятельность в сфере водоснабжения и водоотведения, на 2026-2030 годы"
(Зарегистрирован 23.12.2025 № 1068-75-2025)
Номер опубликования: 7501202512310042
Дата опубликования: 31.12.2025
Страница №36 из 36:
Увеличить