Официальное опубликование правовых актов
ОФИЦИАЛЬНОЕ ОПУБЛИКОВАНИЕ
Приказ Региональной службы по тарифам и ценообразованию Забайкальского края от 14.11.2025 № 255-НПА
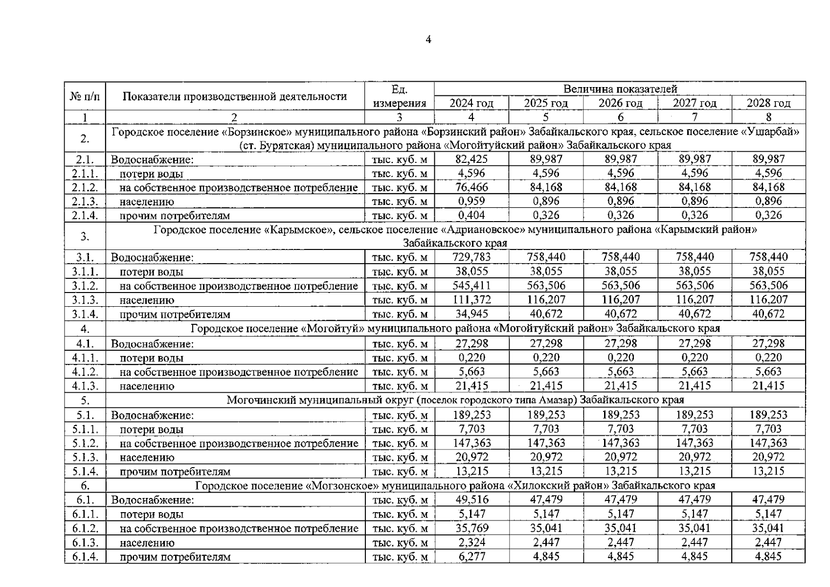
"О внесении изменений в приказ Региональной службы по тарифам и ценообразованию Забайкальского края от 14 декабря 2023 года № 473-НПА "Об утверждении производственных программ и установлении тарифов на питьевую воду (питьевое водоснабжение), водоотведение и горячую воду в закрытой системе горячего водоснабжения для ОАО "Российские железные дороги" (Забайкальской дирекции по теплоснабжению – структурного подразделения Центральной дирекции по тепловодоснабжению – филиала ОАО "Российские железные дороги"), осуществляющего на территории Забайкальского края деятельность в сфере водоснабжения и водоотведения, на 2024-2028 годы"
(Зарегистрирован 14.11.2025 № 801-75-2025)
Номер опубликования: 7501202511180017
Дата опубликования: 18.11.2025
Страница №4 из 7:
Увеличить