Официальное опубликование правовых актов
ОФИЦИАЛЬНОЕ ОПУБЛИКОВАНИЕ
Приказ Министерства природных ресурсов Забайкальского края от 10.11.2025 № 66-н/п
"О внесении изменений в лесохозяйственный регламент Читинского лесничества, утвержденный приказом Министерства природных ресурсов Забайкальского края от 26 декабря 2018 года № 76-н/п (в редакции приказа Министерства природных ресурсов Забайкальского края от 11 ноября 2020 года № 65-н/п, приказа Министерства природных ресурсов Забайкальского края от 22 ноября 2023 года № 69-н/п, приказа Министерства природных ресурсов Забайкальского края от 16 декабря 2024 года № 75-н/п)"
(Зарегистрирован 10.11.2025 № 764-75-2025)
Номер опубликования: 7501202511110007
Дата опубликования: 11.11.2025
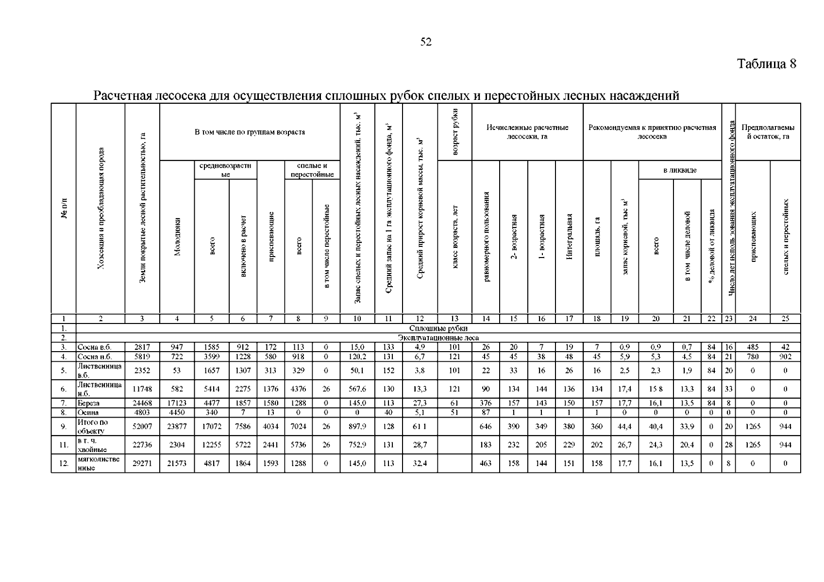
Страница №52 из 140:
Увеличить