Официальное опубликование правовых актов
ОФИЦИАЛЬНОЕ ОПУБЛИКОВАНИЕ
Приказ Региональной службы по тарифам и ценообразованию Забайкальского края от 03.12.2024 № 565-НПА
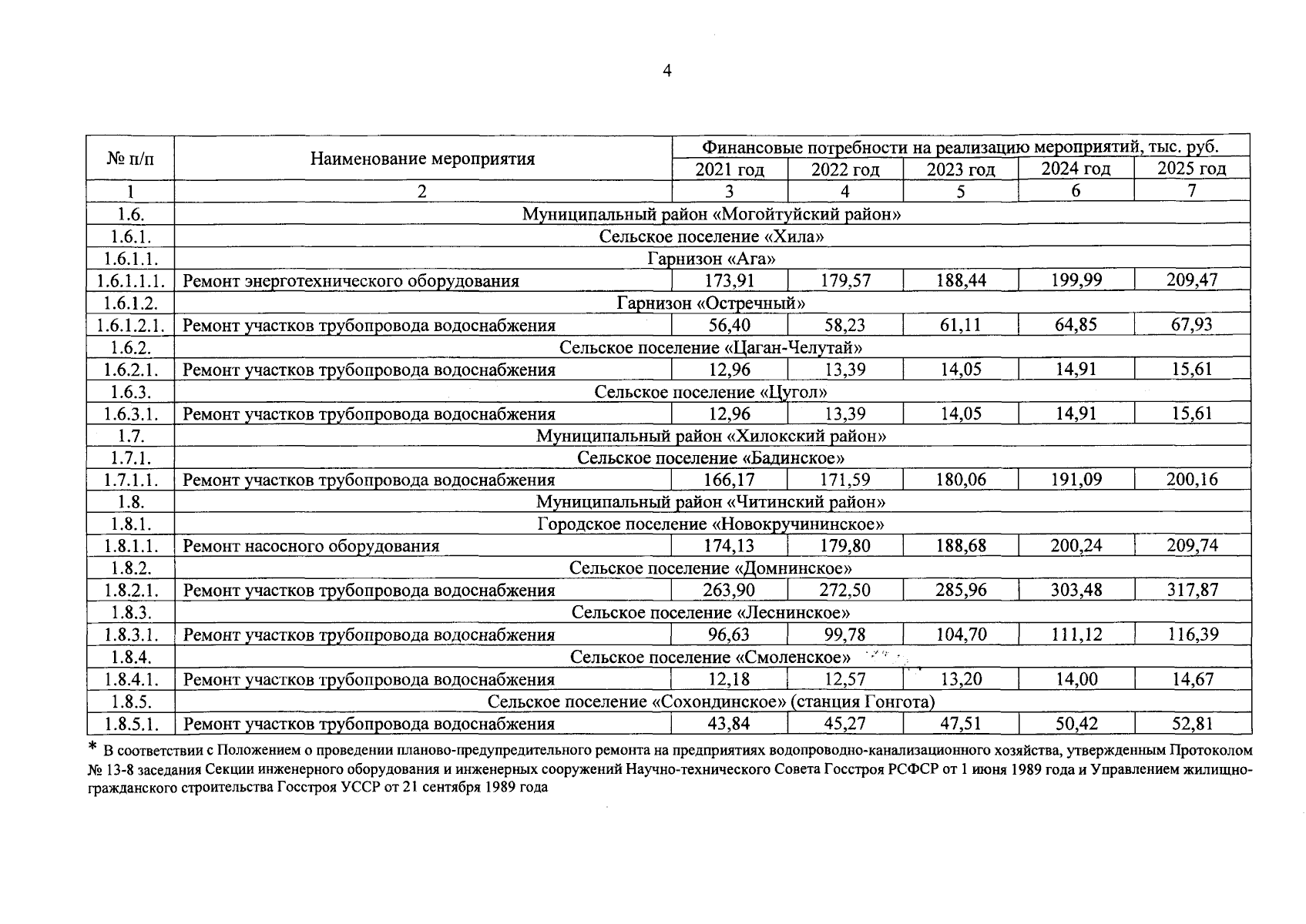
"О корректировке долгосрочных тарифов на питьевую воду (питьевое водоснабжение), техническую воду, горячую воду в закрытой системе горячего водоснабжения, водоотведение и транспортировку сточных вод для Федерального государственного бюджетного учреждения "Центральное жилищно-коммунальное управление" Министерства обороны Российской Федерации, осуществляющего на территории Забайкальского края деятельность в сфере водоснабжения и водоотведения"
(Зарегистрирован 06.12.2024 № 1174-75-2024)
Номер опубликования: 7501202412120003
Дата опубликования: 12.12.2024
Страница №4 из 32:
Увеличить