Официальное опубликование правовых актов
ОФИЦИАЛЬНОЕ ОПУБЛИКОВАНИЕ
Постановление Правительства Забайкальского края от 31.03.2026 № 160
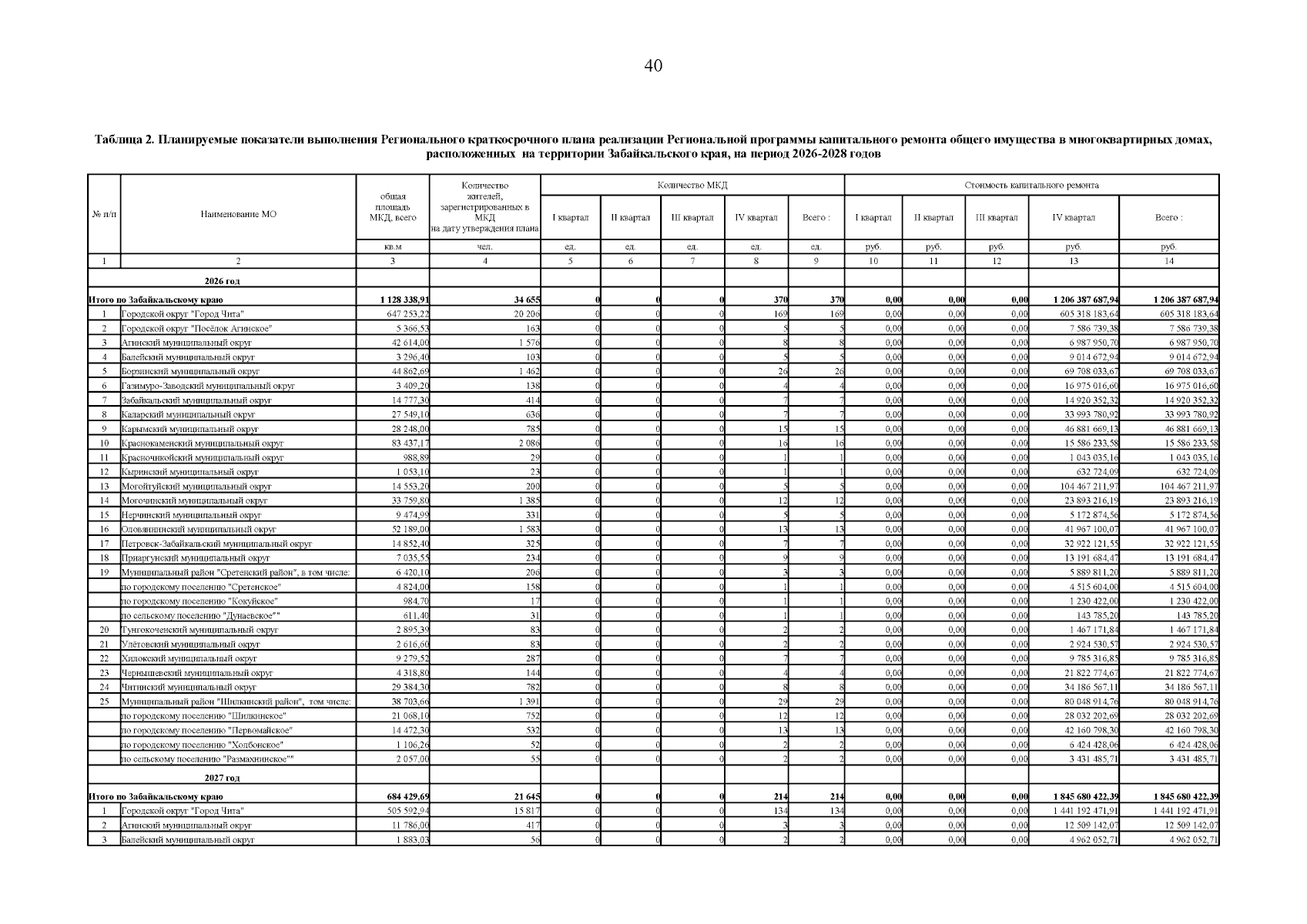
"О внесении изменений в Региональный краткосрочный план реализации Региональной программы капитального ремонта общего имущества в многоквартирных домах, расположенных на территории Забайкальского края, на период 2026-2028 годов"
Номер опубликования: 7500202604020001
Дата опубликования: 02.04.2026
Страница №40 из 64:
Увеличить