Официальное опубликование правовых актов
ОФИЦИАЛЬНОЕ ОПУБЛИКОВАНИЕ
Постановление Правительства Забайкальского края от 11.08.2022 № 348
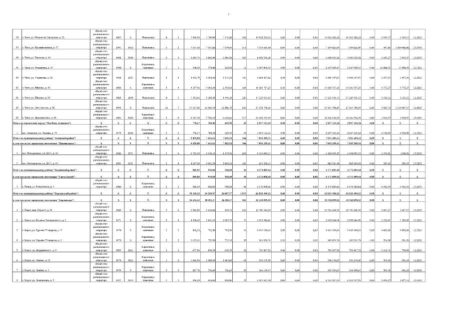
"Об утверждении Регионального краткосрочного плана реализации Региональной программы капитального ремонта общего имущества в многоквартирных домах, расположенных на территории Забайкальского края, на период 2023−2025 годов"
Номер опубликования: 7500202208150012
Дата опубликования: 15.08.2022
Страница №5 из 35:
Увеличить