Официальное опубликование правовых актов
ОФИЦИАЛЬНОЕ ОПУБЛИКОВАНИЕ
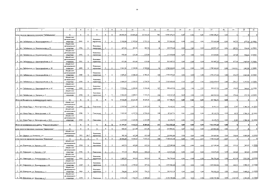
Постановление Правительства Забайкальского края от 24.12.2021 № 534
"О внесении изменений в Региональный краткосрочный план реализации Региональной программы капитального ремонта общего имущества в многоквартирных домах, расположенных на территории Забайкальского края, на период 2020-2022 годов"
Номер опубликования: 7500202112270005
Дата опубликования: 27.12.2021
Страница №10 из 85:
Увеличить