Официальное опубликование правовых актов
ОФИЦИАЛЬНОЕ ОПУБЛИКОВАНИЕ
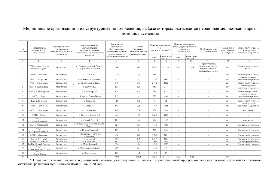
Постановление Правительства Забайкальского края от 20.12.2021 № 515
"О внесении изменений в региональную программу "Модернизация первичного звена здравоохранения в Забайкальском крае"
Номер опубликования: 7500202112220006
Дата опубликования: 22.12.2021
Страница №28 из 172:
Увеличить