Официальное опубликование правовых актов
ОФИЦИАЛЬНОЕ ОПУБЛИКОВАНИЕ
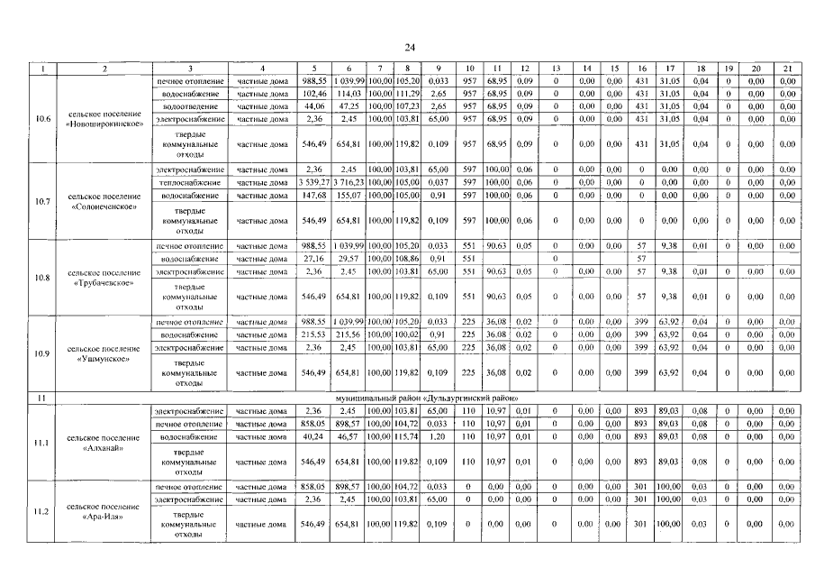
Постановление Губернатора Забайкальского края от 15.12.2021 № 104
"О предельных (максимальных) индексах изменения размера вносимой гражданами платы за коммунальные услуги в муниципальных образованиях Забайкальского края на 2022 год"
Номер опубликования: 7500202112160006
Дата опубликования: 16.12.2021
Страница №24 из 86:
Увеличить