Официальное опубликование правовых актов
ОФИЦИАЛЬНОЕ ОПУБЛИКОВАНИЕ
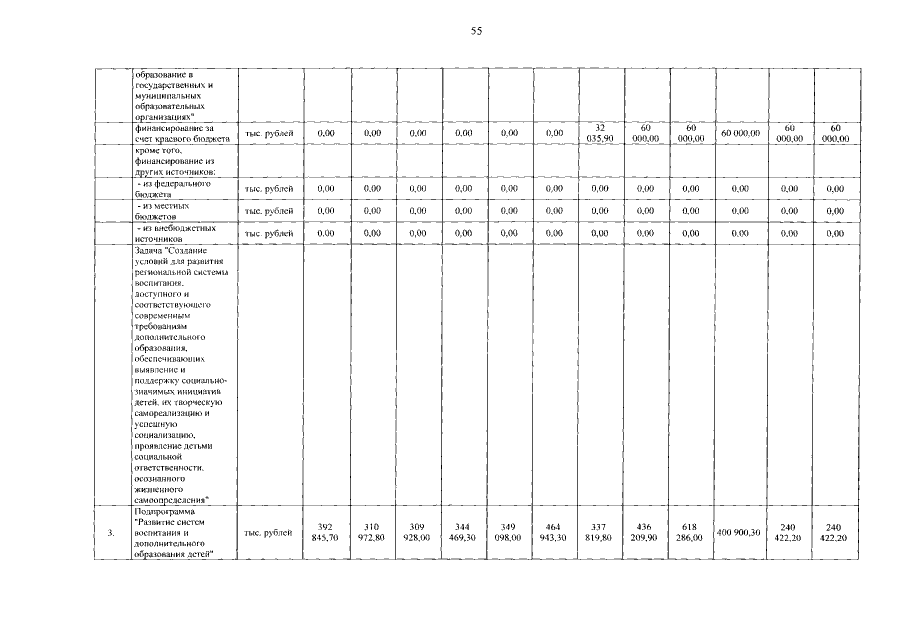
Постановление Правительства Забайкальского края от 22.11.2021 № 452
"О внесении изменений в государственную программу Забайкальского края "Развитие образования Забайкальского края на 2014–2025 годы"
Номер опубликования: 7500202111250008
Дата опубликования: 25.11.2021
Страница №55 из 143:
Увеличить