Официальное опубликование правовых актов
ОФИЦИАЛЬНОЕ ОПУБЛИКОВАНИЕ
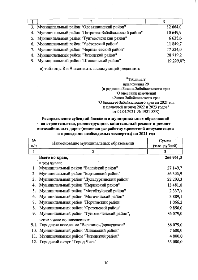
Закон Забайкальского края от 01.04.2021 № 1921-ЗЗК
"О внесении изменений в Закон Забайкальского края "О бюджете Забайкальского края на 2021 год и плановый период 2022 и 2023 годов"
Номер опубликования: 7500202104060001
Дата опубликования: 06.04.2021
Страница №10 из 906:
Увеличить