Официальное опубликование правовых актов
ОФИЦИАЛЬНОЕ ОПУБЛИКОВАНИЕ
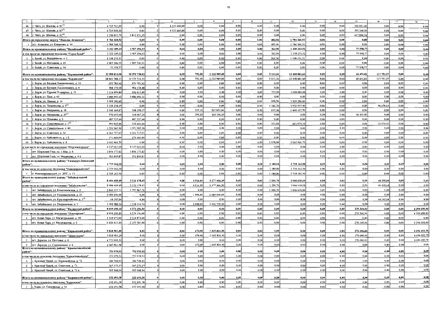
Постановление Правительства Забайкальского края от 11.09.2020 № 376
"О внесении изменений в Региональный краткосрочный план реализации Региональной программы капитального ремонта общего имущества в многоквартирных домах, расположенных на территории Забайкальского края, на период 2020-2022 годов"
Номер опубликования: 7500202009140002
Дата опубликования: 14.09.2020
Страница №55 из 57:
Увеличить