Официальное опубликование правовых актов
ОФИЦИАЛЬНОЕ ОПУБЛИКОВАНИЕ
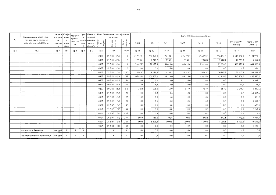
Постановление Правительства Забайкальского края от 11.06.2020 № 203
"О внесении изменений в государственную программу Забайкальского края "Развитие лесного хозяйства Забайкальского края"
Номер опубликования: 7500202006150003
Дата опубликования: 15.06.2020
Страница №52 из 79:
Увеличить