Официальное опубликование правовых актов
ОФИЦИАЛЬНОЕ ОПУБЛИКОВАНИЕ
Постановление Правительства Забайкальского края от 31.12.2019 № 542
"О внесении изменений в государственную программу Забайкальского края "Экономическое развитие"
Номер опубликования: 7500202001040005
Дата опубликования: 04.01.2020
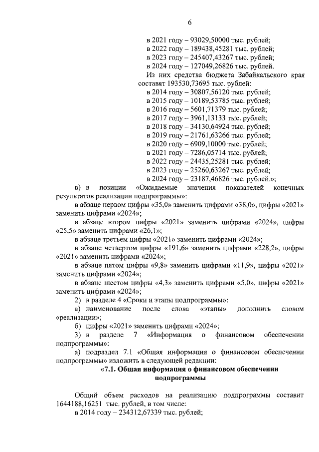
Страница №6 из 50:
Увеличить