Официальное опубликование правовых актов
ОФИЦИАЛЬНОЕ ОПУБЛИКОВАНИЕ
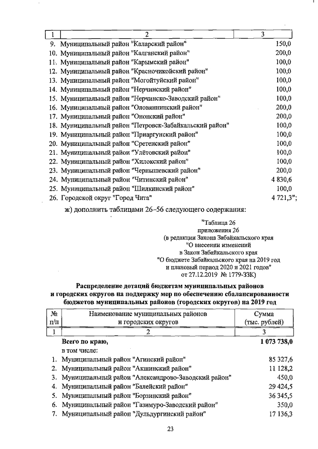
Закон Забайкальского края от 27.12.2019 № 1779-ЗЗК
"О внесении изменений в Закон Забайкальского края "О бюджете Забайкальского края на 2019 год и плановый период 2020 и 2021 годов"
Номер опубликования: 7500201912300012
Дата опубликования: 30.12.2019
Страница №23 из 953:
Увеличить