Официальное опубликование правовых актов
ОФИЦИАЛЬНОЕ ОПУБЛИКОВАНИЕ
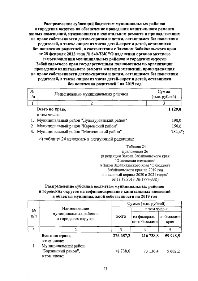
Закон Забайкальского края от 18.12.2019 № 1777-ЗЗК
"О внесении изменений в Закон Забайкальского края "О бюджете Забайкальского края на 2019 год и плановый период 2020 и 2021 годов"
Номер опубликования: 7500201912230002
Дата опубликования: 23.12.2019
Страница №23 из 437:
Увеличить