Официальное опубликование правовых актов
ОФИЦИАЛЬНОЕ ОПУБЛИКОВАНИЕ
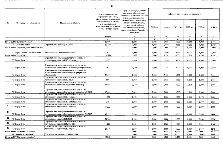
Постановление Правительства Забайкальского края от 30.09.2019 № 389
"О внесении изменений в региональную программу Забайкальского края "Повышение качества водоснабжения Забайкальского края"
Номер опубликования: 7500201910090001
Дата опубликования: 09.10.2019
Страница №21 из 27:
Увеличить