Официальное опубликование правовых актов
ОФИЦИАЛЬНОЕ ОПУБЛИКОВАНИЕ
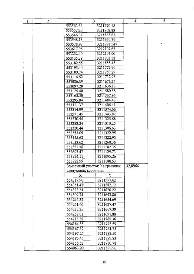
Закон Забайкальского края от 30.07.2019 № 1758-ЗЗК
"Об определении территорий Забайкальского края, в границах которых земельные участки не могут быть предоставлены в безвозмездное пользование в соответствии с Федеральным законом "Об особенностях предоставления гражданам земельных участков, находящихся в государственной или муниципальной собственности и расположенных на территориях субъектов Российской Федерации, входящих в состав Дальневосточного федерального округа, и о внесении изменений в отдельные законодательные акты Российской Федерации"
Номер опубликования: 7500201907300001
Дата опубликования: 30.07.2019
Страница №10 из 46:
Увеличить