Официальное опубликование правовых актов
ОФИЦИАЛЬНОЕ ОПУБЛИКОВАНИЕ
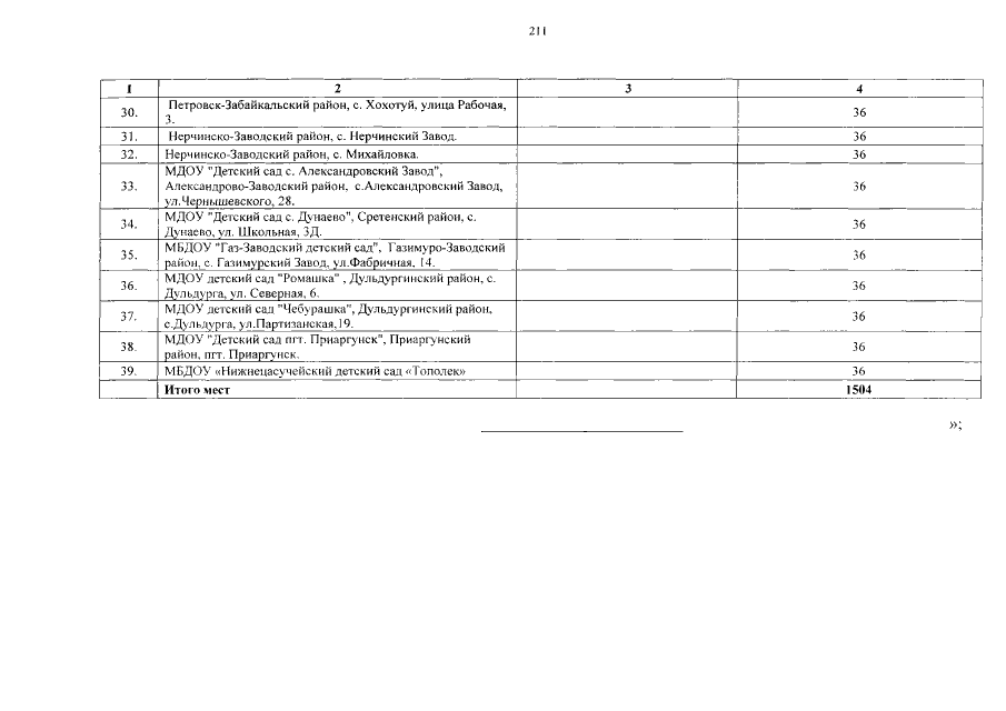
Постановление Правительства Забайкальского края от 28.01.2019 № 11
"О внесении изменений в государственную программу Забайкальского края "Развитие образования Забайкальского края на 2014 - 2025 годы"
Номер опубликования: 7500201901290002
Дата опубликования: 29.01.2019
Страница №211 из 235:
Увеличить