Официальное опубликование правовых актов
ОФИЦИАЛЬНОЕ ОПУБЛИКОВАНИЕ
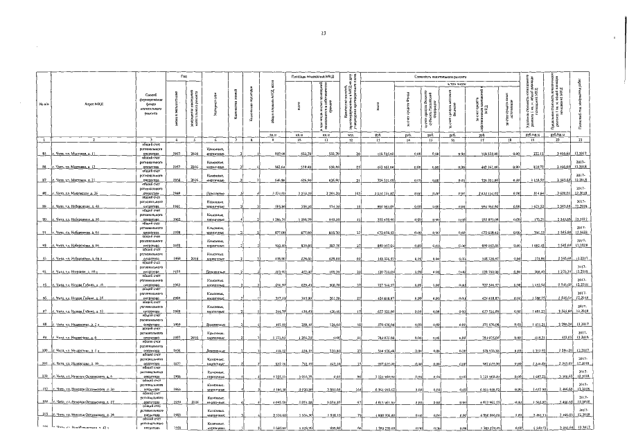
Постановление Правительства Забайкальского края от 11.04.2018 № 145
"О внесении изменений в Региональный краткосрочный план реализации Региональной программы капитального ремонта общего имущества в многоквартирных домах, расположенных на территории Забайкальского края, на 2016-2018 годы, утвержденный постановлением Правительства Забайкальского края от 28 марта 2016 года № 111"
Номер опубликования: 7500201804120005
Дата опубликования: 12.04.2018
Страница №13 из 58:
Увеличить