Официальное опубликование правовых актов
ОФИЦИАЛЬНОЕ ОПУБЛИКОВАНИЕ
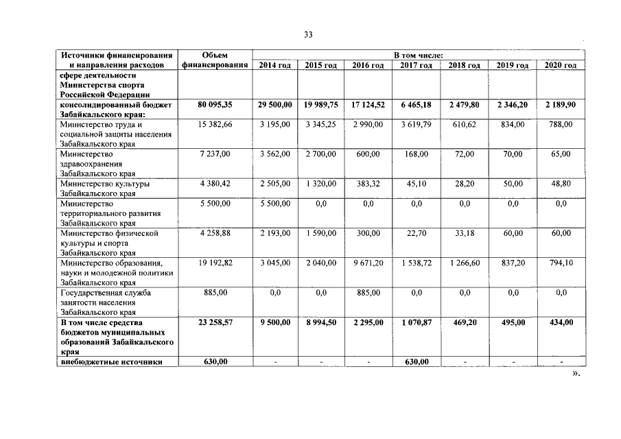
Постановление Правительства Забайкальского края от 28.12.2017 № 575
"О внесении изменений в государственную программу Забайкальского края "Доступная среда (2014-2020 годы)", утвержденную постановлением Правительства Забайкальского края от 19 мая 2016 года № 197"
Номер опубликования: 7500201712290003
Дата опубликования: 29.12.2017
Страница №33 из 34:
Увеличить