Официальное опубликование правовых актов
ОФИЦИАЛЬНОЕ ОПУБЛИКОВАНИЕ
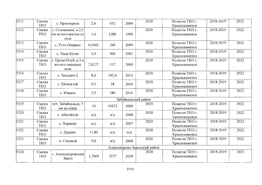
Постановление Правительства Забайкальского края от 10.11.2016 № 425
"Об утверждении территориальной схемы обращения с отходами, в том числе твердыми коммунальными отходами, Забайкальского края"
Номер опубликования: 7500201611140001
Дата опубликования: 14.11.2016
Страница №3711 из 3724:
Увеличить