Официальное опубликование правовых актов
ОФИЦИАЛЬНОЕ ОПУБЛИКОВАНИЕ
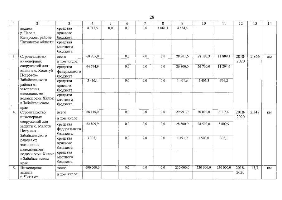
Постановление Правительства Забайкальского края от 25.10.2016 № 402
"О внесении изменений в государственную программу Забайкальского края "Воспроизводство и использование природных ресурсов", утвержденную постановлением Правительства Забайкальского края от 28 октября 2013 года № 465"
Номер опубликования: 7500201610280006
Дата опубликования: 28.10.2016
Страница №28 из 86:
Увеличить