Официальное опубликование правовых актов
ОФИЦИАЛЬНОЕ ОПУБЛИКОВАНИЕ
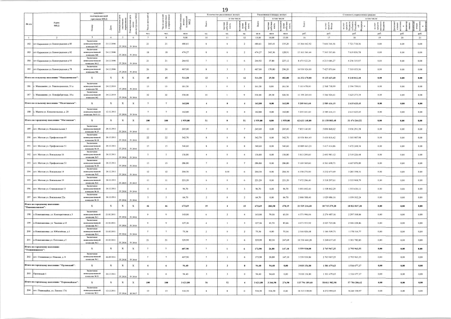
Постановление Правительства Забайкальского края от 14.03.2016 № 100
"О внесении изменений в Региональную адресную программу Забайкальского края по переселению граждан из аварийного жилищного фонда на 2013-2017 годы, утвержденную постановлением Правительства Забайкальского края от 31 декабря 2013 года № 606"
Номер опубликования: 7500201603150001
Дата опубликования: 15.03.2016
Страница №19 из 39:
Увеличить