Официальное опубликование правовых актов
ОФИЦИАЛЬНОЕ ОПУБЛИКОВАНИЕ
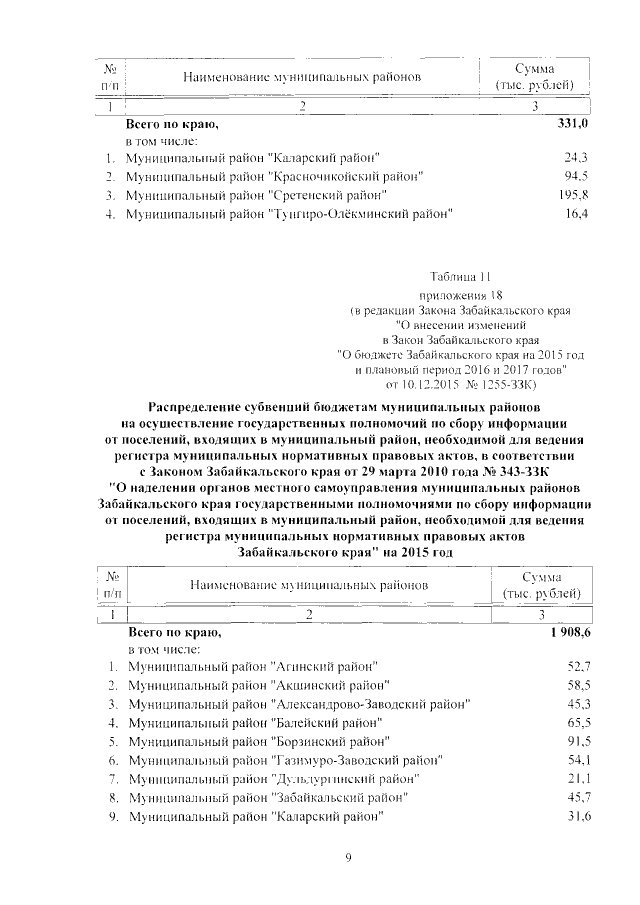
Закон Забайкальского края от 10.12.2015 № 1255-ЗЗК
"О внесении изменений в Закон Забайкальского края "О бюджете Забайкальского края на 2015 год и плановый период 2016 и 2017 годов"
Номер опубликования: 7500201512140001
Дата опубликования: 14.12.2015
Страница №9 из 272:
Увеличить