Официальное опубликование правовых актов
ОФИЦИАЛЬНОЕ ОПУБЛИКОВАНИЕ
Постановление Правительства Забайкальского края от 17.08.2015 № 395
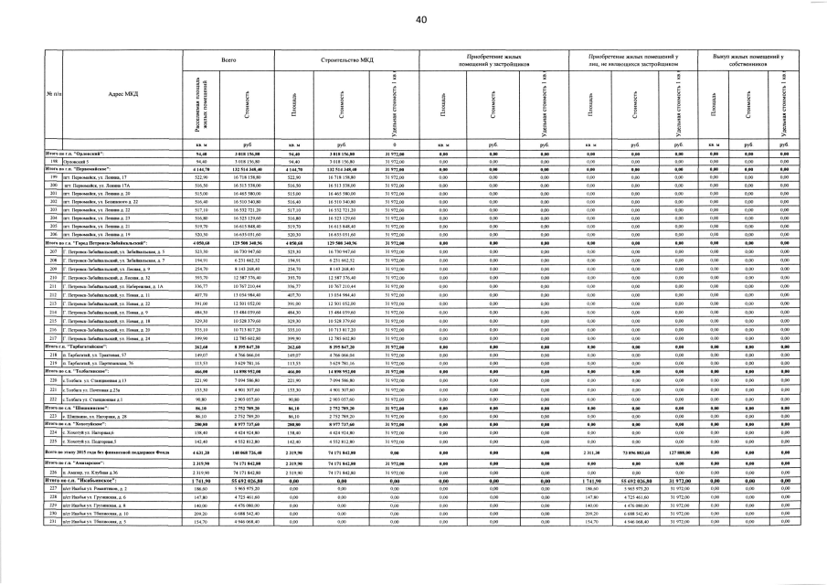
"О внесении изменений в постановление Правительства Забайкальского края от 31 декабря 2013 года № 606 "Об утверждении Региональной адресной программы Забайкальского края по переселению граждан из аварийного жилищного фонда на 2013–2017 годы"
Номер опубликования: 7500201508180001
Дата опубликования: 18.08.2015
Страница №40 из 46:
Увеличить