Официальное опубликование правовых актов
ОФИЦИАЛЬНОЕ ОПУБЛИКОВАНИЕ
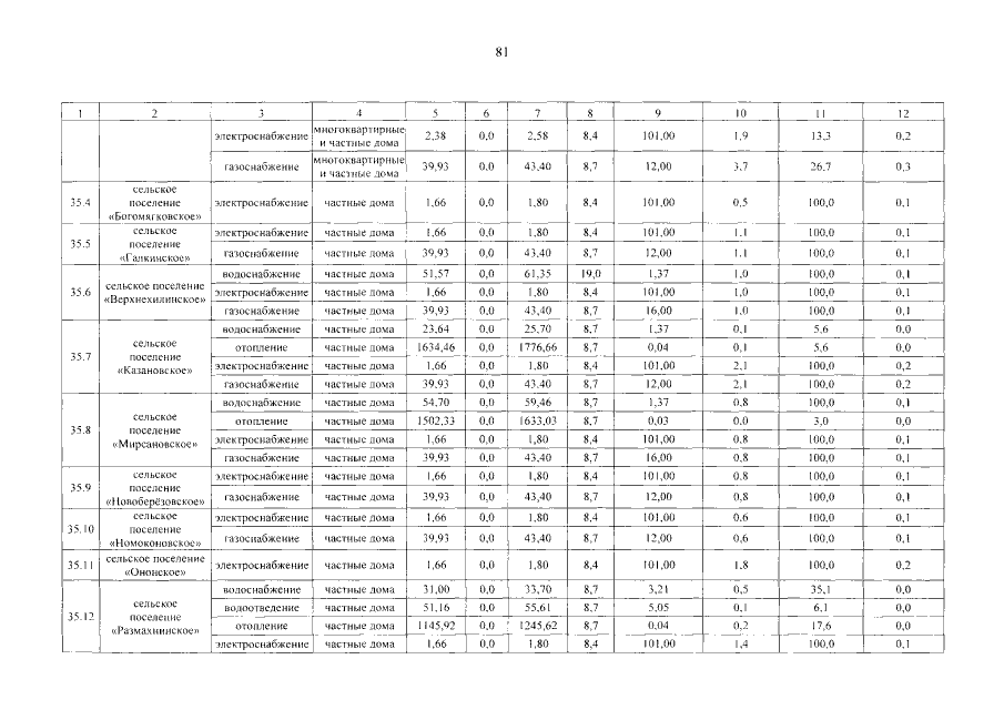
Постановление Губернатора Забайкальского края от 13.04.2015 № 35
"О внесении изменений в постановление Губернатора Забайкальского края от 28 ноября 2014 года № 74"
Номер опубликования: 7500201504160004
Дата опубликования: 16.04.2015
Страница №81 из 82:
Увеличить