Официальное опубликование правовых актов
ОФИЦИАЛЬНОЕ ОПУБЛИКОВАНИЕ
Закон Забайкальского края от 31.03.2015 № 1154-ЗЗК
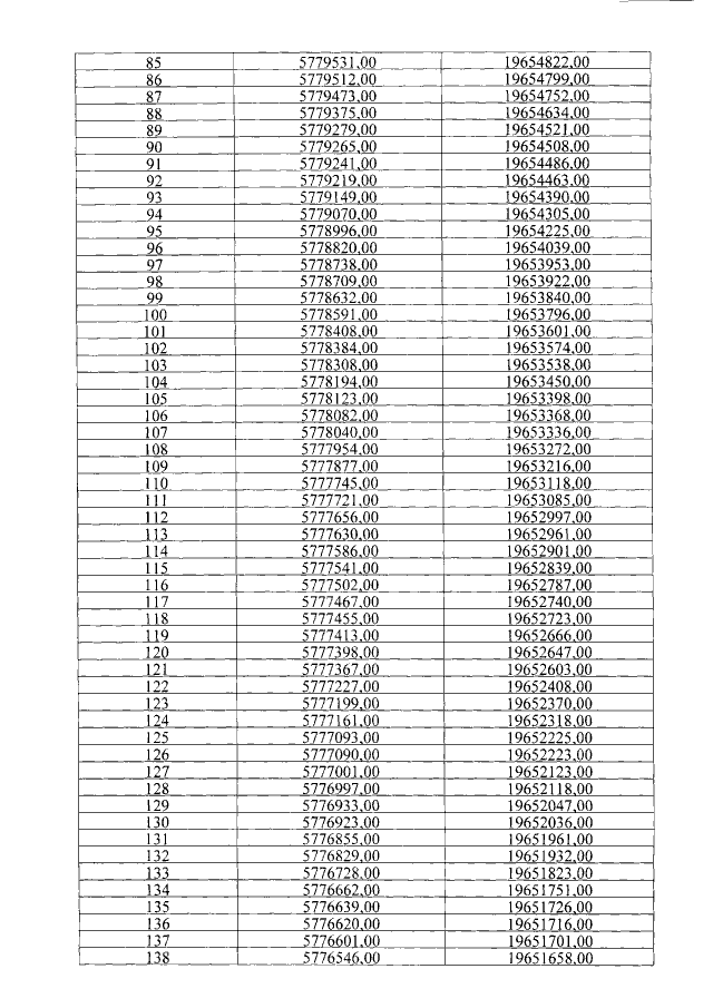
"О внесении изменений в Закон Забайкальского края "О границах муниципальных районов и городских округов Забайкальского края" и Закон Забайкальского края "Об установлении границ и административных центров административно-территориальных единиц Забайкальского края"
Номер опубликования: 7500201504030017
Дата опубликования: 03.04.2015
Страница №10 из 33:
Увеличить