Официальное опубликование правовых актов
ОФИЦИАЛЬНОЕ ОПУБЛИКОВАНИЕ
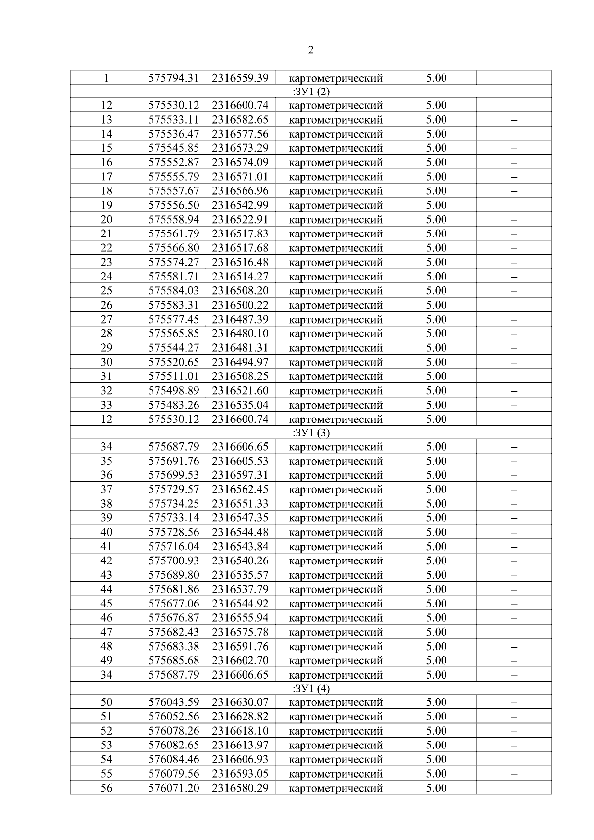
Приказ Главного управления лесами Челябинской области от 25.12.2025 № 1393
"Об установлении площадей и границ земель, на которых расположены леса, расположенные в лесопарковых зонах Шершневского и Ашинского лесничеств"
(Зарегистрирован 26.12.2025 № 1351)
Номер опубликования: 7401202512260001
Дата опубликования: 26.12.2025
Страница №4 из 25:
Увеличить