Официальное опубликование правовых актов
ОФИЦИАЛЬНОЕ ОПУБЛИКОВАНИЕ
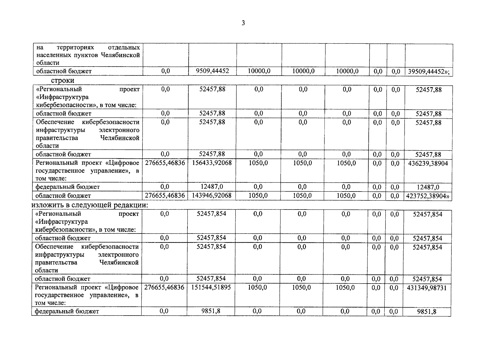
Постановление Правительства Челябинской области от 24.02.2026 № 145-П
"О внесении изменений в постановление Правительства Челябинской области от 03.12.2020 г. № 646-П"
Номер опубликования: 7400202602250014
Дата опубликования: 25.02.2026
Страница №4 из 11:
Увеличить