Официальное опубликование правовых актов
ОФИЦИАЛЬНОЕ ОПУБЛИКОВАНИЕ
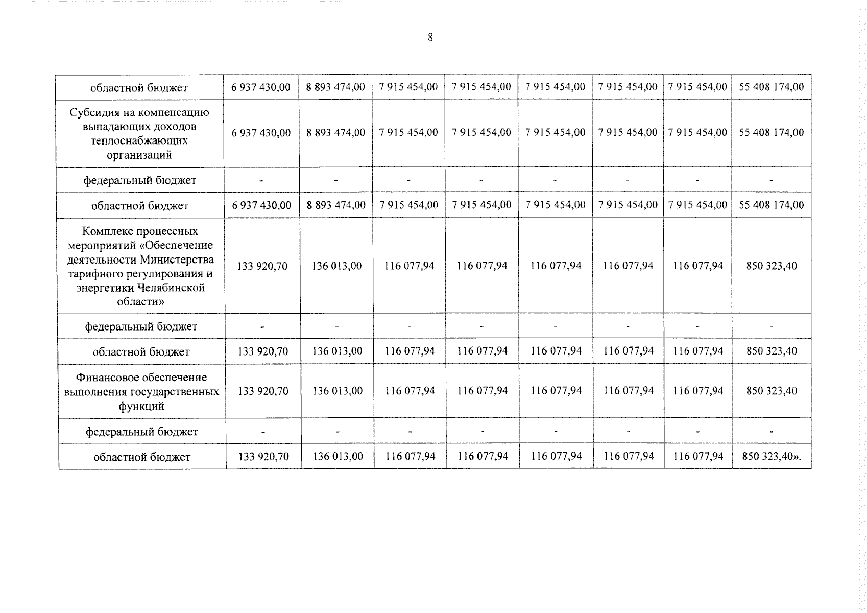
Постановление Правительства Челябинской области от 19.01.2026 № 28-П
"О внесении изменений в постановление Правительства Челябинской области от 09.12.2020 г. № 663-П"
Номер опубликования: 7400202601210002
Дата опубликования: 21.01.2026
Страница №9 из 9:
Увеличить