Официальное опубликование правовых актов
ОФИЦИАЛЬНОЕ ОПУБЛИКОВАНИЕ
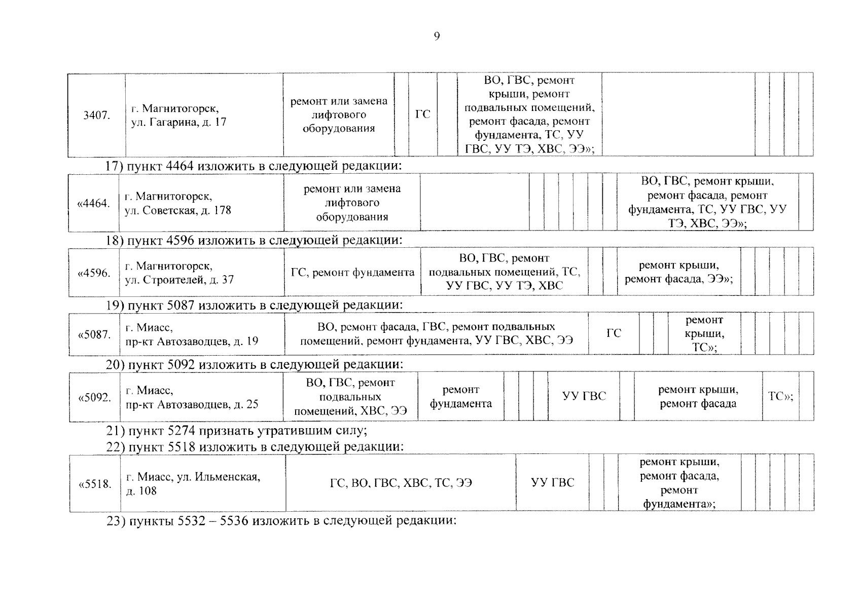
Постановление Правительства Челябинской области от 10.12.2025 № 792-П
"О внесении изменений в постановление Правительства Челябинской области от 21.05.2014 г. № 196-П"
Номер опубликования: 7400202512110001
Дата опубликования: 11.12.2025
Страница №11 из 85:
Увеличить