Официальное опубликование правовых актов
ОФИЦИАЛЬНОЕ ОПУБЛИКОВАНИЕ
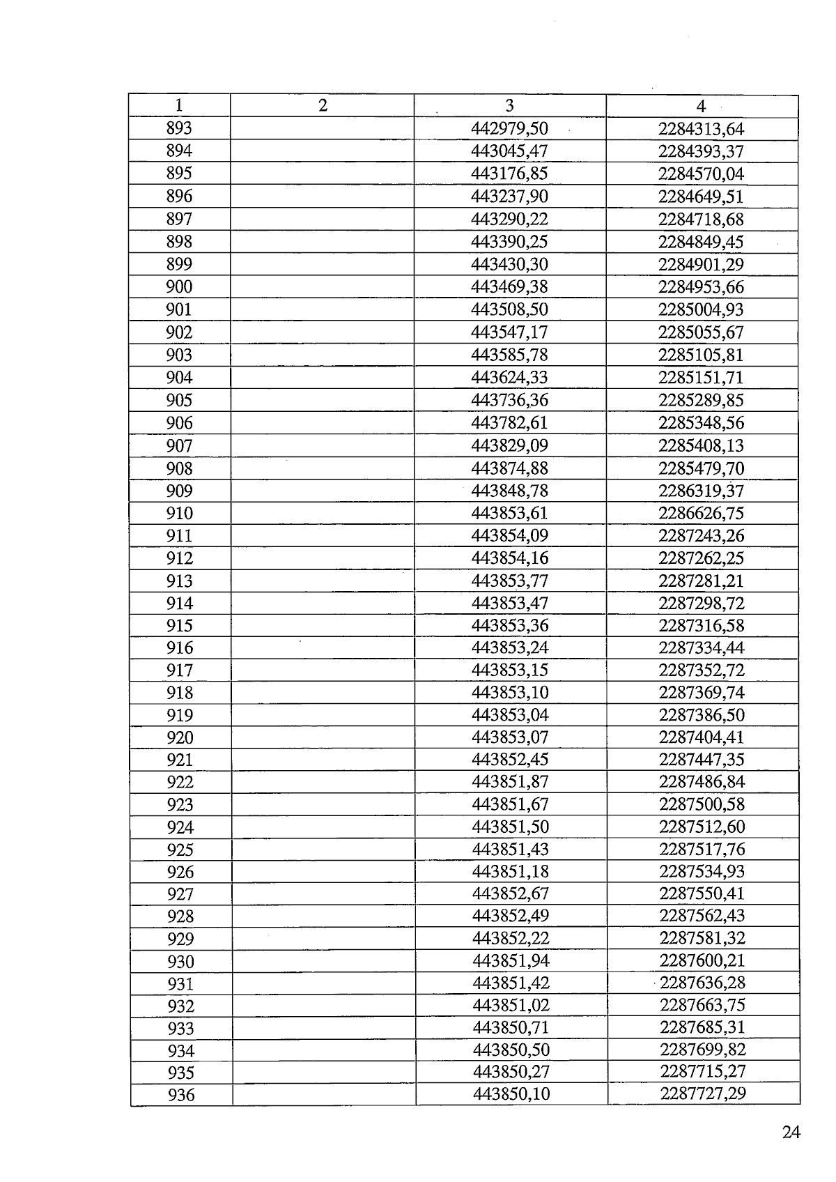
Закон Челябинской области от 04.09.2025 № 151-ЗО
"О внесении изменений в Закон Челябинской области "О статусе и границах Варненского муниципального округа Челябинской области"
Номер опубликования: 7400202509040008
Дата опубликования: 04.09.2025
Страница №24 из 27:
Увеличить