Официальное опубликование правовых актов
ОФИЦИАЛЬНОЕ ОПУБЛИКОВАНИЕ
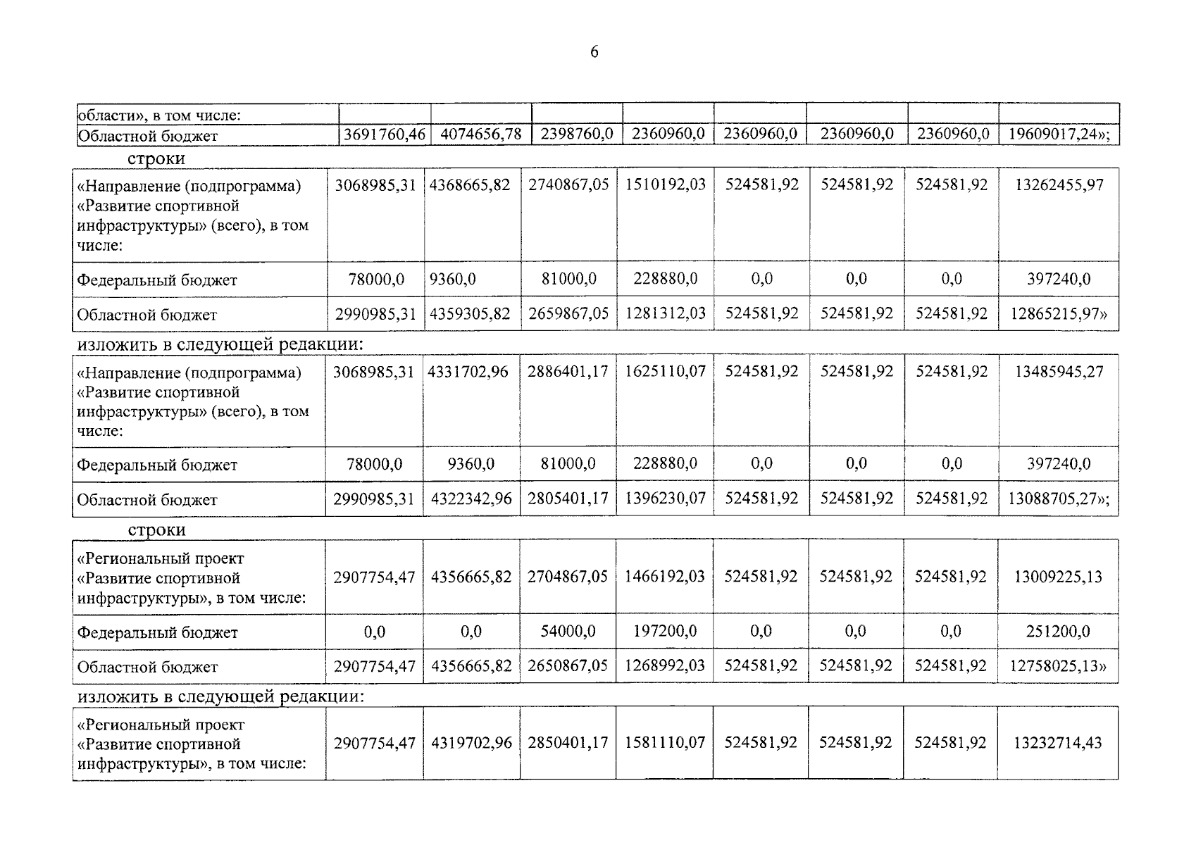
Постановление Правительства Челябинской области от 15.08.2025 № 604-П
"О внесении изменений в постановление Правительства Челябинской области от 25.12.2020 г. № 733-П"
Номер опубликования: 7400202508180002
Дата опубликования: 18.08.2025
Страница №7 из 12:
Увеличить