Официальное опубликование правовых актов
ОФИЦИАЛЬНОЕ ОПУБЛИКОВАНИЕ
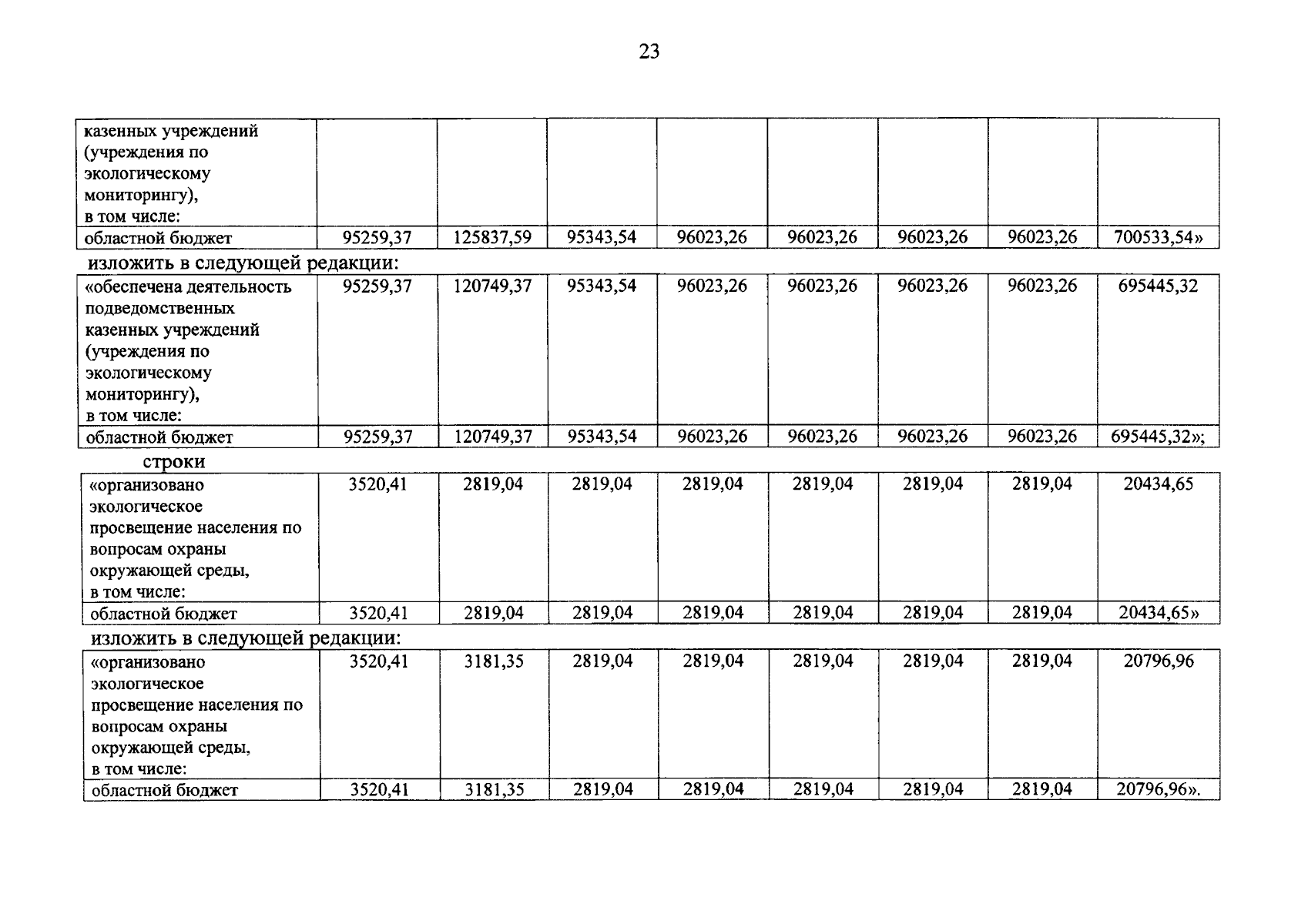
Постановление Правительства Челябинской области от 18.07.2025 № 561-П
"О внесении изменений в постановление Правительства Челябинской области от 30.12.2019 г. № 627-П"
Номер опубликования: 7400202507220006
Дата опубликования: 22.07.2025
Страница №25 из 27:
Увеличить