Официальное опубликование правовых актов
ОФИЦИАЛЬНОЕ ОПУБЛИКОВАНИЕ
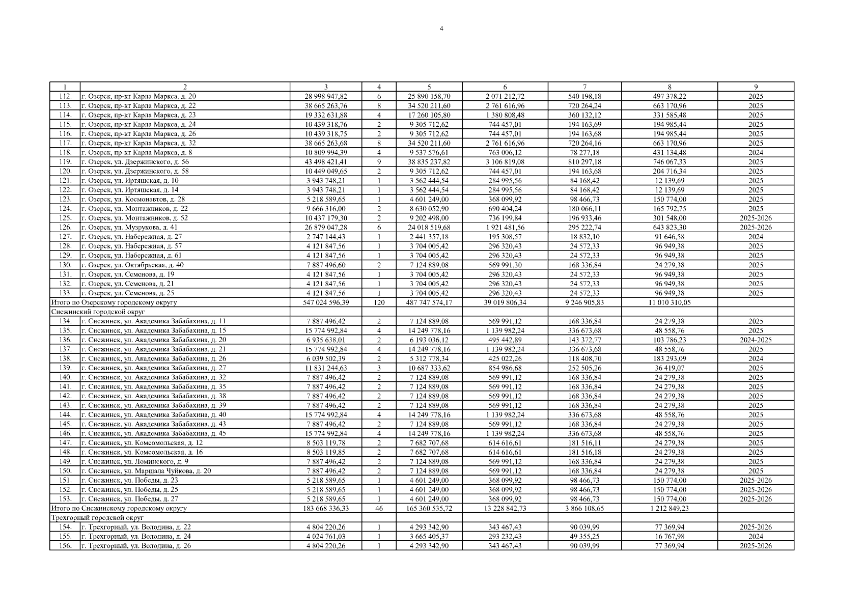
Постановление Правительства Челябинской области от 02.07.2025 № 507-П
"О внесении изменений в постановление Правительства Челябинской области от 28.06.2024 г. № 400-П"
Номер опубликования: 7400202507030004
Дата опубликования: 03.07.2025
Страница №511 из 517:
Увеличить