Официальное опубликование правовых актов
ОФИЦИАЛЬНОЕ ОПУБЛИКОВАНИЕ
Распоряжение Губернатора Челябинской области от 27.06.2025 № 881-р
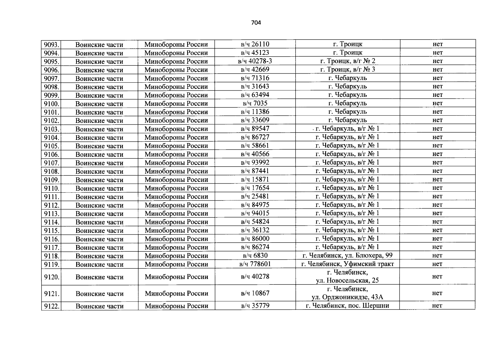
"О Перечне потребителей электрической энергии в Челябинской области с указанием принадлежащих им на праве собственности или ином законном основании энергопринимающих устройств и объектов электроэнергетики, ограничение режима потребления электрической энергии которых может привести к экономическим, экологическим или социальным последствиям"
Номер опубликования: 7400202506300018
Дата опубликования: 30.06.2025
Страница №706 из 780:
Увеличить