Официальное опубликование правовых актов
ОФИЦИАЛЬНОЕ ОПУБЛИКОВАНИЕ
Распоряжение Правительства Челябинской области от 16.05.2025 № 497-рп
"О региональной программе Челябинской области "Борьба с сахарным диабетом"
Номер опубликования: 7400202505220001
Дата опубликования: 22.05.2025
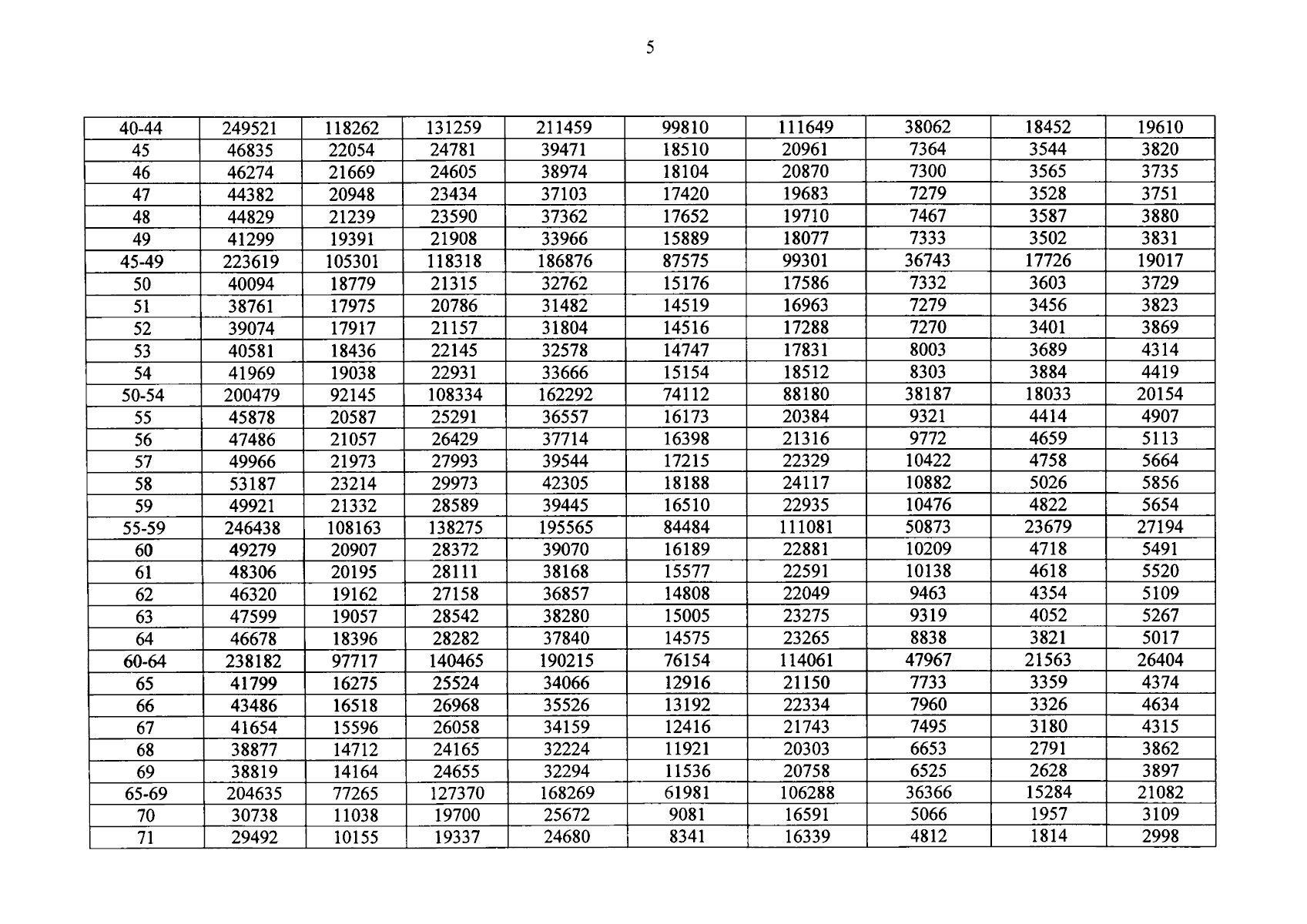
Страница №6 из 184:
Увеличить