Официальное опубликование правовых актов
ОФИЦИАЛЬНОЕ ОПУБЛИКОВАНИЕ
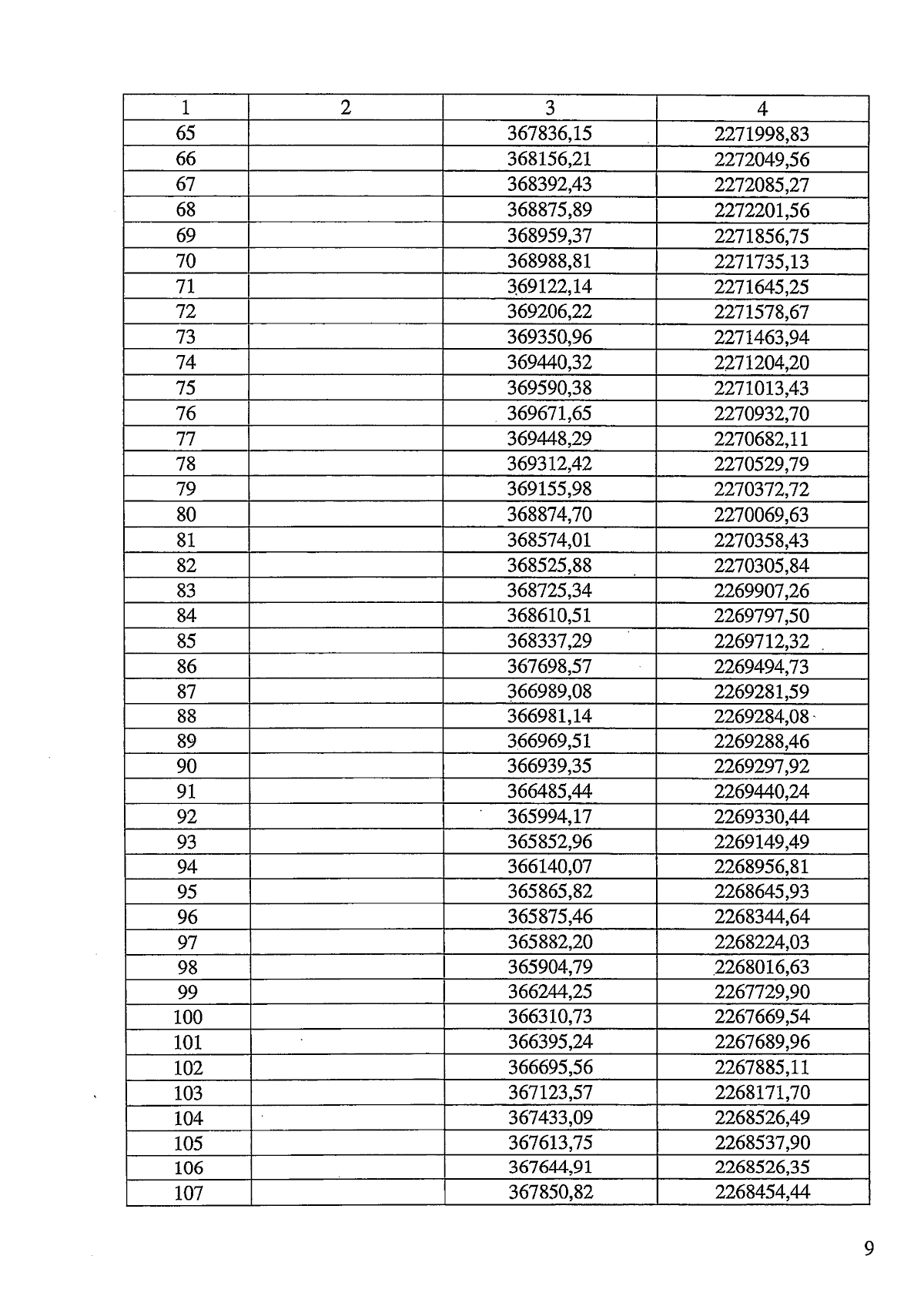
Закон Челябинской области от 25.04.2025 № 72-ЗО
"О внесении изменений в некоторые законы Челябинской области"
Номер опубликования: 7400202504250003
Дата опубликования: 25.04.2025
Страница №9 из 40:
Увеличить