Официальное опубликование правовых актов
ОФИЦИАЛЬНОЕ ОПУБЛИКОВАНИЕ
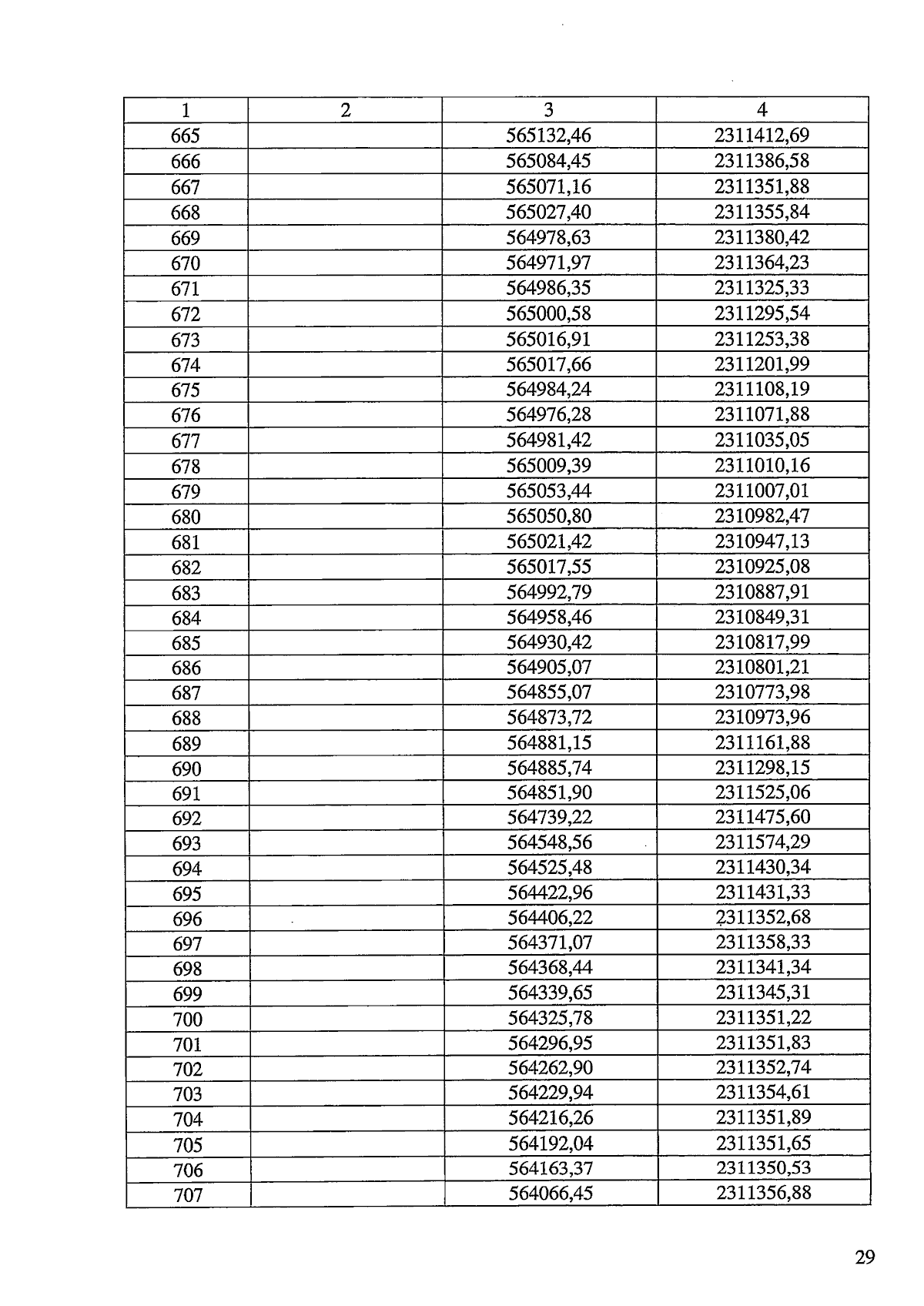
Закон Челябинской области от 28.03.2025 № 50-ЗО
"О статусе и границах Еткульского муниципального округа Челябинской области"
Номер опубликования: 7400202503280022
Дата опубликования: 28.03.2025
Страница №29 из 73:
Увеличить